Calculus
函数性质
单调性
设函数
若在
注意:若
极值
第一充分条件(非必要)
设函数
若
若
若在点
第二充分条件(非必要)
设函数
当
当
定理1
若函数
当
当
凸性
设函数
若对于
定理1
设函数
定理2
函数
若在
- 拐点
是指曲线 在点 的左右两侧凸性相反的点
渐近线
先考虑水平渐近线和铅直渐近线
定理1
若以下极限存在
间断点
若
在点 无定义 在点 有定义但极限 不存在 在点 有定义且极限 存在,但
第一类间断点
- 可去间断点:
- 跳跃间断点:
第二类间断点
- 无穷间断点:
- 振荡间断点:对于
, 即是振荡间断点
连续函数的局部性质
- 局部有界性
- 局部保号性
- 四则运算法则
- 反函数连续性
闭区间上连续函数的性质
- 最大值最小值定理
- 有界性定理
- 零点定理
- 介质定理
概念剖析
连续
某点连续
若
则可推出
不可推出

某邻域连续
若
则可推出
不可推出

某去心邻域连续
若
则可推出
不可推出

可导
某点可导
若
则可推出
不可推出

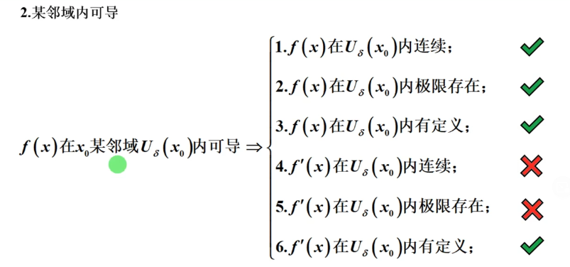
某邻域可导
若
则可推出
不可推出

某去心邻域可导
若
则可推出
不可推出

二阶可导
某点二阶可导

某邻域二阶可导

某去心邻域二阶可导

导数
若
又其中在
故极限定义时不考虑
极限只要求在
极限求解
等价无穷小
泰勒公式
洛必达法则
仅适用于未定式,并且要求上下函数极限存在
定积分
适用于连加或连乘的形式,一般具有如下特征
- 分子是0次或是1次的
- 分母都是2次的
- 分母次数比分子多一
变上限积分
使用洛必达法则
多元函数极限
以二重极限为例,是以不同方向趋近极限值都相同,而不是先
求导
反函数求导
可导性讨论
对于复合函数来说,若内外函数有一个不可导或都不可导,则复合函数不一定可导
比如说都不可导
隐函数求导
或者使用微分
对数求导法
参数方程求导
高阶导数
莱布尼茨公式:适用于求两个函数相乘,其中一个函数在高阶导数时为0
或是使用泰勒公式化开
反函数高阶导数
微分
函数
微分是函数增量的线性主部
定理1:对于一元函数来说可微和可导是等价的,对于多元函数来说,可微是可导的充分非必要条件
微分中值定理
费马定理
设函数
罗尔中值定理
设函数
拉格朗日中值定理
设函数
另一种表达形式,有限增量公式:
柯西中值定理
设函数
泰勒中值定理
函数
所谓的佩亚诺型余项就是将
麦克劳林公式是指
积分
基本积分表
技巧
第一类换元积分法(拼凑)
第二类换元积分法(简化根式)
分部积分法(微分简化)
分部积分法的精髓在于合理利用一次微分将表达式简化,一个部分被还原为原函数,一个部分变为导函数
二次积分表
有理函数积分
对于其他分式化为有理分式后再积分
可有理化函数的积分
使用万能公式将三角函数有理式变为有理函数,再进行积分
或是分母有理化
欧拉公式在简化三角函数乘积积分中的应用
欧拉代换
形如
第一替代
第二替代
第三替代
奥斯特罗格拉茨基方法
其中若
定积分
若
满足下列条件的函数在
- 在
上连续 - 在
上有界并且只有有限个间断点 - 在
上单调有界
虽然在区间内有有限个间断点但是不满足有界:
虽然有界但是不单调:
线性性质
比如
区间可加性
积分中值定理
微积分基本定理
若
若
定积分的可积与不定积分的可积不是一个概念
有原函数不一定黎曼可积
- 若
在 上可积,则 在 上连续 - 若
在 上连续,则 在 上可导,且 ,即 是 在 上的一个原函数
分段函数:分段相加
换元积分法
若
分部积分法
常用结论
- 使用圆的面积解释
- 设
在 上连续,有
若为奇函数,则
- 设
在 上连续,有
- 对于三角函数高次定积分
有
- 巧用质心求定积分
对于曲线弧线
- 在
上可积且单调减少,则
- 又有
一般的
- 嵌套积分
技巧
平面图形面积
- X型区域
- Y型区域
- 极坐标系
体积
绕x轴旋转体
弧长
直角坐标系
旋转体表面积
反常积分
积分限不是有限的或者被积函数不是有界函数的积分
对于
注意:只有收敛的条件下才能认为有偶倍奇零
上面这个反常积分是发散的
对于
对于
p-积分
当
托里拆利小号
性质
- 若
收敛,则 - 满足线性运算
- 若在任何有限区间
上可积,且 , 与 有相同的敛散性 - 若
与 均收敛,且 ,则 - 若
收敛,也称 绝对收敛,则 收敛
对于无界函数的反常积分也有同样的性质
注意:以下说法是错误的
(1)若
连续且 收敛,则 ,反例 (2)若
无界,则 发散,反例
对应上面注意
- 若
是 上的单调函数且 收敛,则 ,且 - 若
在 上一致连续且 收敛,则
非负函数审敛法
若
比较判别法:
设有区间
- 若
收敛,则 收敛 - 若
发散,则 发散
推论1:设有区间
- 当
时, 与 收敛性相同 - 当
时, 收敛则 收敛 - 当
时, 发散则 发散
对于无界函数的判别法类似
另外的判别法这里不做介绍
额外性质补充
对于反常积分来说也有夹逼定理
即若
- 若
收敛,则 收敛 - 若
收敛,则、 收敛、 - 若
绝对收敛,且 ,则 必定收敛 - 设
为 上的非负连续函数,若 收敛,则 收敛 - 设
为 上的连续可微函数,当 时, 递减趋于零,则 收敛的充要条件为 收敛
常微分方程
微分方程的阶、解、通解、初值条件、特解、线性微分方程、边值条件、积分曲线
通解不一定是全部解,比如
一阶微分方程
形如
可降阶的高阶微分方程
对于
对于
一般的
或是对于
或是对于
线性微分方程解的结构
对于二阶齐次线性微分方程
对于二阶非齐次线性微分方程
另外,对于
常数变易法
对于二阶线性微分方程
若已知其对应的齐次方程的两个线性无关的解
二阶及高阶线性微分方程
常系数齐次线性微分方程
对于二次常系数齐次线性微分方程
常系数非齐次线性微分方程
只需求出特解与其对应的齐次线性微分方程的通解
对于二次常系数非齐次线性微分方程
- 第一种情形
- 若
不是其对应的齐次线性微分方程的特征方程 的根,则
- 若
是其对应的齐次线性微分方程的特征方程 的单根,则
- 若
是其对应的齐次线性微分方程的特征方程 的重根,则
其中
- 第二种情形
- 若
不是其对应的齐次线性微分方程的特征方程 的根,则
- 若
是其对应的齐次线性微分方程的特征方程 的根,则
其中
同样的,对于高阶常系数非齐次线性微分方程
- 第一种情形
- 若
不是其对应的齐次线性微分方程的特征方程 的根,则
- 若
是其对应的齐次线性微分方程的特征方程 的 重根,则
其中
- 第二种情形
- 若
不是其对应的齐次线性微分方程的特征方程 的根,则
- 若
是其对应的齐次线性微分方程的特征方程 的 重根,则
其中
空间解析几何
定理1:向量
定理2:向量的方向余弦的平方和为1,即
同时垂直于两个向量,满足右手定则,即右手四个手指从 的正方向以不超过 的转角转向 的正向握拳时,竖起的大拇指的指向就是 的方向
满足分配律和数乘结合律(不是结合律)
若
,则
若
,则
混合积的几何意义是以三个向量为相邻三棱的平行六面体的体积的六分之一
平面
点法式方程
(x0, y0, z0), n = (A, B, C) ⇒ A(x − x0) + B(y − y0) + C(z − z0) = 0
三点式方程
截距式方程
点到平面间距离
两平面间夹角
空间直线
对称式方程/点向式方程/标准方程
参数方程
一般方程
解直线
- 要求使用一般方程转换为点向式方程:先找出直线上的一个点,再对两个平面的法向量使用叉乘得到方向向量
- 要求使用一般方程解出在一个平面的投影方程:求出方向向量后对方向向量和平面的法向量使用叉乘求出垂直面的法向量,使用点法式方程得到对应平面方程并于原平面联立得到所求直线的一般方程
- 要求使用点向式方程和一个点的坐标求出过该点并于直线垂直的直线方程:可以使用点法式方程得到过点并与直线垂直的平面方程,平面方程与直线的参数方程联立求得交点坐标,进而得到方向向量,使用点向式方程即可;或者设待求直线的点向式方程,式一为待求直线的方向向量和所给直线的方向向量的点乘为0,式二为两个方向向量与所给点到所给直线上任意点的向量共面,三阶行列式为0,联立解得;使用点法式方程得到过点并与直线垂直的平面方程和所给直线和所给点得到的平面方程联立的一般方程
过直线的平面束
过直线
空间曲线
柱面
旋转曲面
旋转抛物面
旋转椭球面
单页旋转双曲面
双页旋转双曲面
- 圆锥面
空间曲线的一般方程
投影曲线和区域
消去对应的未知量即可
空间曲面
椭球面
抛物面
椭圆抛物面
双曲抛物面(马鞍面)
双曲面
单叶双曲面
椭圆锥面
杂项
双曲线的定义
坐标
参考

